Continua “l’elemosina” di questo governo, come di quelli che l’hanno preceduto nei confronti del personale della scuola
Infatti, con le competenze di gennaio il personale della scuola ha ricevuto in “busta paga” un aumento “una tantum”.
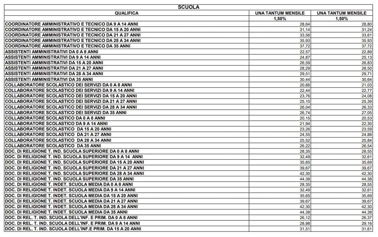
Si tratta di pochi spiccioli, ecco le tabelle con gli aumenti di tutto il personale della scuola.
La Ragioneria Generale dello Stato ha annunciato gli importi dell’emolumento una tantum assegnato ai dipendenti pubblici dalla legge di Bilancio 2023.
Questo emolumento, che verrà erogato per tredici mensilità nella misura dell’1,5% dello stipendio, ha l’obiettivo di compensare il mancato pagamento della vecchia indennità di vacanza contrattuale, introdotta nel 1993 per coprire il periodo fra la scadenza di un contratto collettivo e il suo rinnovo.
Tabelle con gli aumenti degli stipendi scuola 2023


Le tabelle con gli aumenti del personale della scuola

Come è possibile vedere dalle tabelle il il bonus avvantaggerà i redditi più alti, poiché essendo una percentuale fissa dello stipendio, sarà tanto più alto quanto maggiore è la retribuzione.
Così, per esempio, un docente di scuola media al massimo dell’anzianità avrà 42 euro lordi in più al mese, mentre uno della primaria avrà oltre 38 euro lordi, un assistente amministrativo ad inizio carriera avrà poco più di 20 euro lordi.
Ci sembra opportuno anche sottolineare che si tratta di cifre lorde, per cui le 20 euro del nostro assistente si trasformeranno in …udite, udite………….massino 10/11 euro netti !!!!!
Vediamo quali sono le differenze tra bonus accessorio 2023 (valido solo per quest’anno) e indennità di vacanza contrattuale.
L’indennità di vacanza contrattuale :
- Confluisce nella quota A ai fini del calcolo della pensione. (La quota A identifica quella parte di pensione, calcolata secondo il sistema retributivo, relativa alle anzianità contributive maturate dal lavoratore sino al 31 dicembre 1992).
- Viene corrisposta per 13 mensilità.
- Ritenute previdenziali: 11,15%
- Sarà assorbita con i futuri aumenti contrattuali.
- Non è finanziata solo per l’anno 2023.
- Non è pensionabile per la parte eccedente il 18% dello stipendio base.
- Non diminuirà il conguaglio previdenziale 2023 (che sarà fatto nel febbraio 2024).
- Va nel TFS.
- Va nel TFR.
Indennità una tantum 2023
- Non va in quota A ai fini pensionistici
- Confluisce nella quota B ai fini pensionistici (La quota B identifica quella parte di pensione, calcolata secondo il sistema retributivo, relativa alle anzianità contributive maturate dal lavoratore successivamente al 31 dicembre 1992).
- Viene corrisposta per 13 mensilità.
- Non è ancora certo che sarà assorbito con i futuri aumenti contrattuali.
- Ritenute previdenziali: 9,15%
- E’ finanziata solo per l’anno 2023.
- E’ pensionabile per la parte eccedente il 18% dello stipendio base.
- Diminuirà il conguaglio previdenziale 2023 (che sarà fatto nel febbraio 2024).
Insomma che dire: Accontentatevi, zitti e muti. Le cosiddette OO.SS. rappresentative hanno firmato il contratto (CGIL-CISL-UIL-SNALS-GILDA-ANIEF) e tanto basta per continuare a farvi l’elemosina !!!!!